ELECTRÓNICA DE POTENCIA 01
LABORATORIO 01
RECTIFICADOR MONOFASICO DE ONDA COMPLETA
Integrantes
Barron Caballero Ernesto
Farfan Fernandez Rosa
Aguilar de la vega Martin
Jurado Jose
Objetivo:
Estudiar el funcionamiento de los rectificadores de onda completa monofásico de mediana potencia. Relación entre los voltajes y corrientes de entrada con los voltajes y corrientes de salida.
Estudiar el funcionamiento de los rectificadores de onda completa monofásico de mediana potencia. Relación entre los voltajes y corrientes de entrada con los voltajes y corrientes de salida.
Equipos y Materiales:
- Un módulo DL 2626
- Transformador de alimentación
Un módulo DL2603
- Grupo de diodos
Un módulo DL2635
- Carga Universal
Un osciloscopio
Un Multímetro digital
Dos borneras de interconexión de 12 salidas para 15Amperios
Conectores varios
Fundamento teórico:
La onda de salida que se observa se obtiene suponiendo que un diodo conductor tiene una caída constante de voltaje VD0; por lo tanto la curva característica de transferencia del rectificador de onda completa toma la forma que muestra la figura 1.2
rectificador de onda completa.
Un rectificador de onda completa
es un circuito empleado para convertir una señal de corriente alterna de
entrada (Vi) en corriente continua de salida (Vo) pulsante. A diferencia del
rectificador de media onda, en este caso, la parte negativa de la señal se
convierte en positiva o bien la parte positiva de la señal se convertirá en
negativa, según se necesite una señal positiva o negativa de corriente
continua.
Existen dos alternativas, bien
empleando dos diodos o empleando cuatro (puente de Graetz).El rectificador de onda
completa utiliza ambas mitades de la señal senoidal de entrada, para obtener
una salida unipolar, invierte los semiciclos negativos de la onda senoidal. En
la figura 1 se muestra una posible estructuración en la que el devanado
secundario es con derivación central para obtener dos voltajes vs, en paralelo
con las dos mitades del devanado secundario con las polaridades indicadas.
Cuando el voltaje de línea de
entrada (que alimenta al primario) es positivo, las señales vs serán positivas;
el D1 conduce y D2 esta polarizado inversamente, la corriente que pasa por D1
circulara por R y regresara a la derivación central del secundario. El circuito
se comporta entonces como rectificador de media onda, y la salida durante los
semiciclos positivos será idéntica a la producida por el rectificador de media
onda.
Durante el semiciclo negativo del
voltaje de CA de la línea, los dos voltajes marcados como Vs serán negativos;
el diodo D1 estará en corte y D2 conduce, la corriente conducida por D2
circulara por R y regresa a la derivación central. Por lo tanto durante los
semiciclos negativos también el circuito se comporta como rectificador de media
onda, excepto que ahora D2 es el que conduce. Es importante decir que la
corriente que circula por R siempre circulara en la misma dirección y por lo
tanto Vo será unipolar, como lo muestra la figura 1.1
La onda de salida que se observa se obtiene suponiendo que un diodo conductor tiene una caída constante de voltaje VD0; por lo tanto la curva característica de transferencia del rectificador de onda completa toma la forma que muestra la figura 1.2
El rectificador de onda completa obviamente produce una onda
más enérgica que la del rectificador de media onda.
Para encontrar el PIV de los diodos en el circuito
rectificador de onda completa se emplea la siguiente ecuación:
El rectificador en puente:
El circuito conocido como rectificador en puente por la similitud de su configuración con la del puente de Wheatstone, no requiere de transformador con derivación central, ventajoso sobre el circuito rectificador de onda completa de la figura 1, en la figura 2 se muestra una estructuración alternativa del
El circuito conocido como rectificador en puente por la similitud de su configuración con la del puente de Wheatstone, no requiere de transformador con derivación central, ventajoso sobre el circuito rectificador de onda completa de la figura 1, en la figura 2 se muestra una estructuración alternativa del
En el rectificador en puente se
hacen necesarios cuatro diodos en comparación con el circuito anterior. La
operación del rectificador en puente consiste que durante los semiciclos
positivos del voltaje de entrada Vs es positivo y la corriente es conducida a
través del diodo D1, el resistor R y el diodo D2. Entre tanto los diodos D3 y
D4 estarán polarizados inversamente; hay dos diodos en serie en la trayectoria
de conducción y por lo tanto Vo será menor que Vs por dos caídas del diodo,
esta es una desventaja del rectificador en puente. Para determinar el voltaje
inverso de pico (PIV) se emplea la siguiente formula:
Otra ventaja de este circuito es
que solo se hace necesaria aproximadamente la mitad del número de vueltas para
el devanado secundario del transformador. Se puede visualizar que cada mitad
del devanado secundario del transformador con derivación central se utiliza
solo la mitad del tiempo.
Circuito a implementar :
Realizar el montaje del circuito de la figura
Verificar el conexionado antes de energizar el transformador de
alimentación
- Realizar el montaje del circuito de la figura:
- Mediciones:
La corriente eficaz entre los puntos 1 y 2 ( A12 )
-El voltaje eficaz entre los puntos 2 y 8 ( V28 )
-La corriente promedio entre los puntos 3y5 (A35 )
-Entre los puntos 4y5 (
A45)
-Entre los puntos 5,6 ( A56 )
El voltaje promedio entre los puntos 6 y 7 ( V67 )
Medición
|
A12
|
V28
|
A35
|
A45
|
A56
|
V57
|
Multímetro
|
1.72 mA
|
74.9 V
|
0.32 A
|
0.32 A
|
0.65 A
|
65.4 V
|
Usando el osciloscopio medir
El voltaje, conectando la tierra del osciloscopio en el punto 8 y la punta
en el punto 2
Dibujar la forma de onda que se observa con sus valores
Conectando la tierra del osciloscopio en el punto 7 y la punta del canal 1
en el punto 2 y la punta del canal 2 en el punto 6.
Dibujar las formas de onda que se observa.
Conectando la tierra del osciloscopio en el punto 7 y la punta del canal
1 en el punto 8 y la punta del canal 2 en el punto 6.Dibujar las formas de onda
que se observa.
Nota cada vez que se mida corriente se tiene que sacar el instrumento y
puentear dichos puntos
INFORME FINAL
-
Hallar el cálculo teórico de los siguientes parámetros (trabajo de casa)
5 puntos
Simulaciones
La corriente eficaz entre los puntos 1 y 2 (A12) = 1.92ma
El voltaje eficaz entre los puntos 2 y 8 ( V28 )
La corriente promedio entre los puntos 3y5 (A35 ); entre los
puntos 4y5 ( A45) ; y entre los puntos 5,6 ( A56 ).
puntos
5y6
El voltaje promedio entre los puntos 6 y 7 ( V67 )
Usando el osciloscopio
El voltaje, conectando la tierra del osciloscopio en el punto
8 y la punta en el punto 2
Conectando la tierra del osciloscopio en el punto 7 y la punta
del canal 1 en el punto 2 y la punta del canal 2 en el punto 6.
Conectando la tierra del
osciloscopio en el punto 7 y la punta del canal 1 en el punto 8 y la punta del
canal 2 en el punto 6.Dibujar las formas de onda que se observa.
IV. INFORME FINAL
CÁLCULO TEÓRICO DE LOS
SIGUIENTES PARÁMETROS
A) Voltaje promedio de salida
B) Corriente promedio de salida
C) Corriente promedio por cada diodo
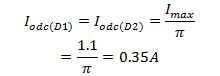
D) Corriente eficaz por cada diodo
C) Corriente eficaz que entrega cada transformador
El transformador del módulo nos proporciona 77.8
Vrms
Entonces se tiene:
Para una fase
tenemos:
LOS DIODOS DE QUE CARACTERÍSTICAS MÍNIMAS RECOMENDARÍA PARA ESTE
RECTIFICADOR
Características del diodo 1N4001, un diodo rectificador empleado en fuentes
de alimentación (circuitos que convierten una tensión alterna en una tensión
continua).
La serie de diodos del 1N4001 al 1N4007 son siete diodos que tienen las
mismas características con polarización directa, pero en polarización inversa
sus características son distintas.
Limitaciones máximas:
Estos tres valores especifican la ruptura en ciertas condiciones de
funcionamiento. Lo importante es saber que la tensión de ruptura para el diodo
es de 50 V, independientemente de cómo se use el diodo. Esta ruptura se produce
por la avalancha y en el 1N4001 esta ruptura es normalmente destructiva.
Corriente máxima con polarización directa:
La corriente media con polarización directa, que aparece en la hoja de
características:
Indica que el 1N4001 puede soportar
hasta 1 A con polarización directa cuando se le emplea como rectificador. Esto
es, 1 A es el nivel de corriente con polarización directa para el cual el diodo
se quema debido a una disipación excesiva de potencia. Un diseño fiable, con
factor de seguridad 1, debe garantizar que la corriente con polarización
directa sea menor de 0,5 A en cualquier condición de funcionamiento.
Estos valores están medidos en
alterna, y por ello aparece la palabra instantáneo en la especificación. El
1N4001 tiene una caída de tensión típica con polarización directa de 0,93 V
cuando la corriente es de 1 A y la temperatura de la unión es de 25 ºC.
Observaciones:
·
En los rectificadores de onda completa la
frecuencia de salida es el doble de la frecuencia de entrada.
·
Se compara los valores tomados en la práctica
con las fórmulas estudiados en clase teniendo un mínimo porcentaje de error
Conclusiones:
· Se puede
ver fácilmente como varía la onda paso por paso al revisar con el osciloscopio
cada parte del circuito, ayudando a reconocer como funciona cada parte
fácilmente y se observa como en los circuitos rectificadores las ondas pierden
su parte negativa, dando lugar a una multiplicación de su periodo.
· En este
laboratorio practico se pudo observar cómo se comporta la tensión alterna
cuando se conecta un puente diodo (puente Graetz), ya que el diodo por ser
semiconductor modifica la onda de tensión y lo convierte a pulsante.
· La carga
siempre recibe positivo por el mismo sitio, independientemente de que sea el
semiperiodo positivo o negativo el que se produce en la secuencia de
funcionamiento. Esto significa que la tensión aplicada sobre la resistencia
será como la indicada en el punto 8.
Sugerencias:
- Observar bien que mediación se va a realizar ya que con el multímetro se puede medir alterna o continua.
- Tener en cuenta la tensión inversa y la capacidad de corriente de los diodos antes de armar el circuito.
- Comprobar si el panel está entregando el voltaje adecuado ya que esto puede darnos valores erróneos.
























MUY BUEN TRABAJO MUCHACHOS.....
ResponderEliminar